福建华侨大学怎么样?它是一所由中央统战部、国务院侨办与福建省共建的综合性大学,主校区位于泉州,厦门设有分校区,兼具侨校特色与工科优势。

学校定位与历史沿革
华侨大学诞生于1960年,最初为服务东南亚华侨青年而设。经过六十余年发展,现已成为“国家重点扶持的侨校之一”,拥有博士、硕士、本科完整培养体系。
- 泉州校区:承载厚重人文底蕴,建筑融合闽南红砖与南洋风格。
- 厦门校区:2004年启用,现代化设施齐全,毗邻集美学村。
学科实力与特色专业
哪些专业值得报考?建筑学、旅游管理、华文教育是国家级特色专业;机械工程、材料科学、计算机进入ESI全球前1%。
- 建筑学:通过住建部专业评估,毕业生可直通一级注册建筑师考试。
- 华文教育:全国唯一以“华文”命名的本科专业,海外实习机会覆盖五大洲。
- 旅游管理:依托福建世界遗产资源,与万豪、洲际等集团共建实训基地。
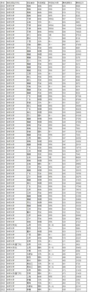
福建华侨大学录取分数线是多少
近三年在福建省内录取最低分(普通类物理组):
| 年份 | 最低分 | 位次 |
|---|---|---|
| 2023 | 541 | 约3.3万名 |
| 2022 | 538 | 约3.4万名 |
| 2021 | 534 | 约3.5万名 |
想读热门专业?建筑学需高出一本线60分左右,计算机类需高出50分。
校园生活与国际化氛围
华侨大学有来自70多个国家与地区的留学生,每年举办“泼水节”“国际文化节”。

- 住宿:四人间空调独卫,泉州校区部分宿舍可俯瞰清源山。
- 食堂:厦门校区有“网红”紫荆园餐厅,沙茶面、印尼炒饭等风味齐全。
- 奖学金:境外生最高可获“林伟柬埔寨奖学金”全额学费减免。
就业与深造数据
2023届本科毕业生去向:
- 就业率:92.4%,其中40%进入世界500强或中国500强。
- 升学率:25.8%,主要流向同济大学、香港理工大学、新加坡国立大学。
- 薪资:平均起薪7500元/月,计算机、建筑专业可达1万元/月。
报考建议与常见疑问
Q:华侨大学对境外生政策如何?
A:境外生可凭SAT、ACT、A-Level或联招成绩申请,部分专业单独划线,奖学金覆盖率超60%。
Q:泉州和厦门校区怎么选?
A:看专业——建筑、土木、中文在泉州;计算机、金融、设计在厦门。两校区之间有1小时直达班车。
Q:分数擦线会被调剂吗?
A:服从调剂且体检合格,通常会被调剂到旅游管理、公共管理类;不服从则存在退档风险。
学长学姐真实体验
“在厦门校区读计算机,最大的福利是每年暑假可赴澳门大学交流,还能申请到谷歌、腾讯的实习。”——2020级王同学

“泉州校区的建筑系作业多到哭,但大三就能参与泉州古城改造项目,简历秒变高大上。”——2019级李同学
未来规划与新增项目
2025年起,华侨大学将启用福州长乐校区,聚焦集成电路、人工智能等前沿方向,预计新增2000个招生计划。
还木有评论哦,快来抢沙发吧~